6月5日,中国科学技术大学曾杰教授团队在丙烷脱氢制丙烯领域取得重要研究进展。研究人员发现催化剂活性位点与分子筛孔道之间亲密度对丙烷脱氢反应稳定性的影响,并结合铟组分稀释作用开发出超高稳定性的分子筛包覆的铂铟合金(PtIn@S-1)催化剂,为提升催化剂稳定性提供了新视角和新思路。相关成果以“Close Intimacy between PtIn Clusters and Zeolite Channels for Ultrastability toward Propane Dehydrogenation”为题发表于《Nano Letters》杂志(Nano Lett. 2024, 24, 7236)。
丙烯作为关键的基础化工原料,其需求量逐年增加。丙烷脱氢是丙烯生产的主要方式之一。当前,商业化丙烷脱氢过程主要采用Catofin工艺或Oleflex工艺,所应用铬系或铂系催化剂均面临较为严重的催化剂稳定性(积碳)问题。近年来,研究人员从催化剂配位结构调控角度出发,发现孤立铂位点能够有效缓解积碳,并据此开展大量研究工作。事实上从反应过程考虑,积碳产生的根源在于催化剂对产物丙烯分子吸附过强,从新的角度促进丙烯分子的快速脱附,将有望进一步提升催化稳定性。
研究人员首先以负载在二氧化硅上的铂(Pt/SiO2)催化剂为模型验证了促进丙烯分子及时脱附对提升脱氢反应稳定性至关重要。具体而言,活性位与孔道亲密程度越高,催化剂稳定性越高。在此启发下,研究人员进一步结合孤立铂位点的设计理念,通过将铂铟纳米团簇以最亲密的方式均匀分散到S-1分子筛孔道中,制备出PtIn@S-1催化剂。催化结果表明,在常压、580摄氏度、空速4.7每小时的条件下,在870小时丙烷脱氢反应中,PtIn@S-1的丙烷转化率仅从31.4%降低到30.9%,丙烯选择性从96.0%提升至97.3%,催化剂平均寿命(τ)计算为37317小时,超越现有已报道的大部分催化剂。进一步提升空速(1128每小时)使催化剂远离平衡转化率之后,PtIn@S-1依旧表现出13.3%的转化率和96.0%丙烯选择性。

图1. 亲密度关系概念验证与丙烷脱氢催化性能
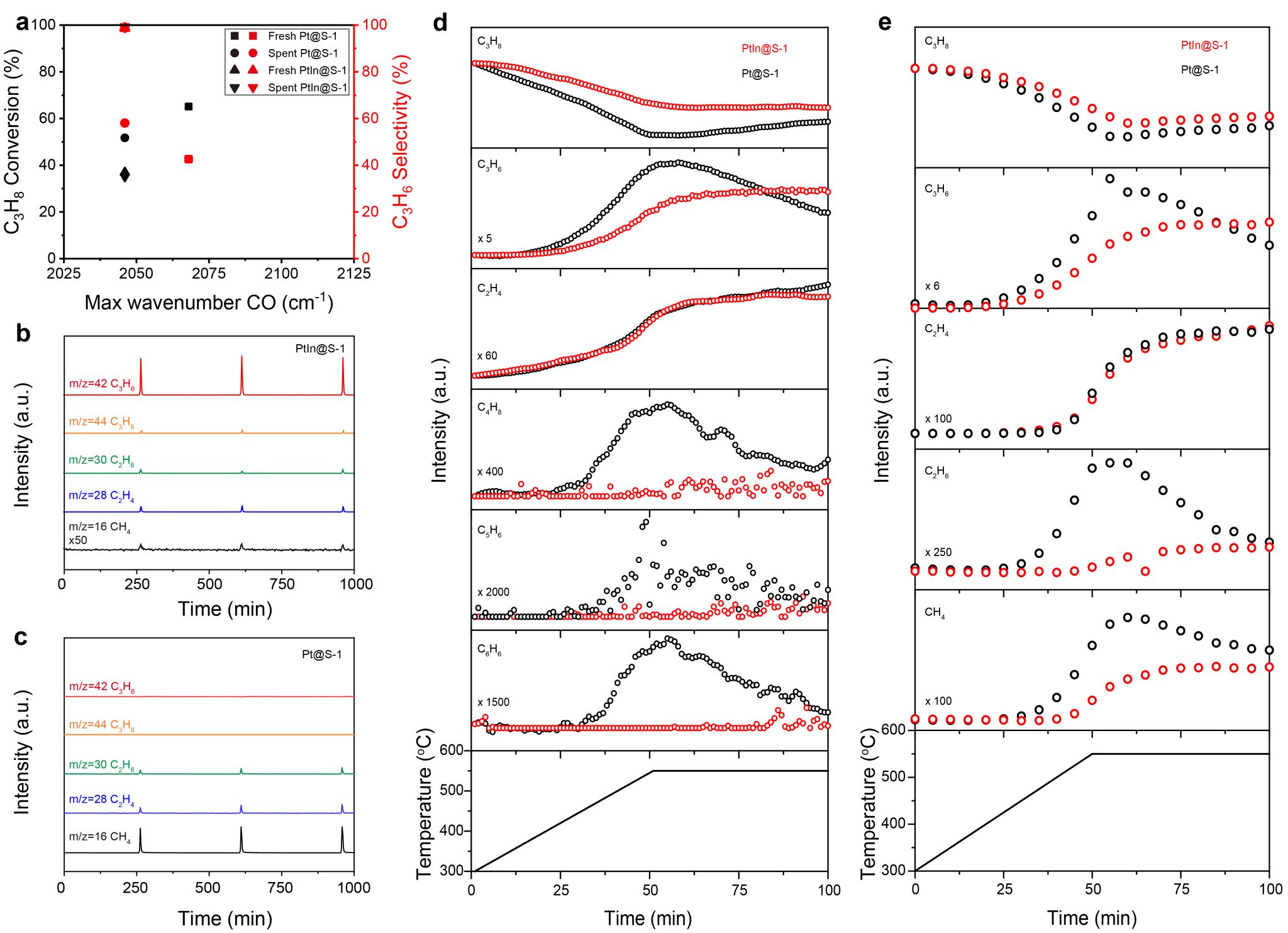
为进一步揭示丙烯吸附性质对稳定性的影响,研究人员针对各催化剂开展富氢气条件下的丙烯脉冲表面反应实验(图2)。结果表明,丙烯在PtIn@S-1催化剂表面基本不发生反应。对比之下,Pt@S-1催化剂则能几乎完全将丙烯裂解。使用同步辐射真空紫外光电离质谱耦合气相色谱对低浓度中间体进行检测,研究人员在Pt@S-1催化体系中发现丁烯,环戊二烯、苯等产物,表明连续铂-铂位点同时存在碳碳偶联能力,连续高碳产物生成终将导致活性位点被覆盖而失活。在PtIn@S-1催化体系中,则未检测到高碳产物,这主要归因于铟组分的稀释作用及分子筛孔道的促脱附作用,碳碳偶联过程被有效抑制。

图2.催化剂表面碳碳键断裂和偶联过程研究
该项研究受到科技部、国家自然科学基金委、中国科学院等项目资助。曾杰教授、博士后罗赖昊、特任副研究员马新龙为该论文的通讯作者,特任副研究员罗雷、博士生周涛为论文的共同第一作者。
论文链接:https://pubs.acs.org/doi/10.1021/acs.nanolett.4c01131
(合肥微尺度物质科学国家研究中心、科研部)